电机选型(永磁电机选型)

加入博途之友,与优秀工程师有约

      在运动控制中,伺服电机的选择是第一步。如果伺服电机选择过小,容易导致在调试过程中电机动态特性无法调整,电机也很容易过载;如果选择过大,那么就容易造成电机资源浪费。因此,要做好运动控制,伺服电机的选择是第一步。

一、伺服电机选型的重要参数

      在伺服电机的选型参数中,以下这几个参数是决定的电机选型的重要参数。

电机选型

1、电机速度:一般是通过工艺节拍需求求出电机所需的速度,一般所需公式为:


2、电机的有效转矩:即匀速运动时电机的转矩,即所需额定转矩,一般公式为:

3、惯量比是很重要的一环,具体在后面讲述。

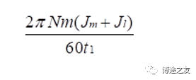
4、电机峰值转矩即电机加减速时候电机的转矩,即电机所需最大转矩,一般公式为:

、伺服电机选型和核心参数:惯量和惯量比

      惯量和惯量比是伺服电机选型中的很重要的一环,其中惯量的计算是不可或缺的。

1、惯量的基本定义

      惯量:指的是物体对围绕一个旋转轴所产生的角加速度变化的阻抗,即对运动状态改变(加速或减速)的阻碍。


惯量与力矩的关系:ΣM=Jα,其中α是加速度,M是转矩,J是惯量

2、惯量比

      惯量比是指运动物体的惯量通过机械传动机构后折算到电机侧的惯量与电机自身转子惯量之间的比值。

关于惯量比的经验总结:

1)惯量比越小,性能趋于更高,更容易控制。

2)若对快速响应与性能要求不高,惯量比可选到10。

3)惯量比的选择需要考虑刚性。若刚性强,可选择5-10;如果柔性强,则越小越好。

4)齿轮传动、齿轮齿条、丝杆传动等刚性较强。同步带传动、链传动等则柔性较强。


三、各种机械传动中惯量的计算

1、圆柱体惯量(中心线与旋转轴平行)

如图所示,d0为外径,d1为内径,l为长度,e为圆柱体中心线与旋转轴线的距离,则该物体计算公式为:

2、圆柱体惯量(中心线与旋转轴垂直)

如图所示,d0为外径,d1为内径,l为长度,e为圆柱体重心线与旋转轴线的距离,则该物体计算公式为:

3、方形物体惯量

       使用如图所示,X为长度,Y为宽度,Z为高度,e为圆柱体重心线与旋转轴线的距离,则该物体计算公式为:

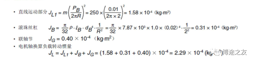
4、丝杆惯量计算

      丝杆的惯量与丝杆的摆放无关,即无论是丝杆的水平运动还是垂直运动,惯量是一致的,唯一变化的是外力。在垂直运动时,电机需要出力用以平衡负载的自身重量。

如图所示,M为负载质量,PB为丝杆导程,DB为丝杆直径。

四、选型案例

1、工艺参数确定与机械参数确定

2、确认最高工艺节拍速度曲线

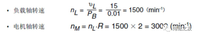
3、计算电机用到最高转速

4、负载转矩计算

电机选型

5、传动部分总的惯量

6、负载行走功率

7、负载加速功率

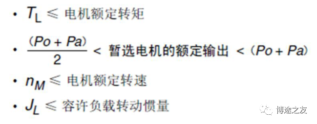
8、伺服电机的选择


感兴趣的企业朋友可以添加作者微信

电机选型

(非诚勿扰)

 芮老师的书籍 


转载请说明出处 内容投诉内容投诉
九幽软件 » 电机选型(永磁电机选型)