函数不等式(二次函数不等式)

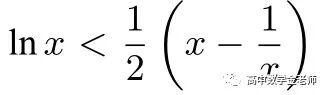
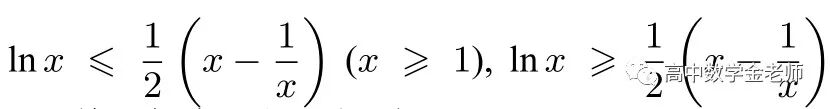
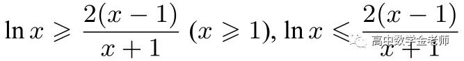
本文对教材中的一个经典的函数不等式ln x <x <ex(x >0)的探究,着重剖析其变形及其几何意义,总结提炼出高考中常考的几个经典函数不等式,并通过等价转换的经典函数不等式函数图像法来证明近两年高考导数压轴题.

普通高中课程标准实验教科书《数学·选修2-2 · A版》(人民教育出版社,2007年1月第2 版)第32 页习题1.3.B 第1(3)题:利用函数的单调性,证明不等式x+1 <ex(x/=0).

这个不等式的证明比较容易,只需构造函数f(x)=ex - x - 1(x ∈ R),由f(x)=ex - 1 知,当x > 0时,f(x)>0;当x <0 时,f(x)<0.故当x=0 时,fmin(x)=f(0)=e0-0-1=0.即当x ∈R 时,f(0)≤f(x),也即ex-x-1 ≥0,故x+1 ≤ex(x ∈R),当且仅当x=0时,等号成立.

经典函数不等式ln x <x <ex(x >0)的几何意义的理解,如图1所示.

图1

若能够熟练掌握这一不等式及其变式,就好像插上了一双“隐形的翅膀”,解题思路会得到优化,解题过程会变得自然明了.

此经典函数不等式ln x <x <ex(x >0)经过变形可以得到下面结论.

(1)ln x+1 ≤x ≤ex(x >0),其几何意义的理解,如图2所示.

图2

图3

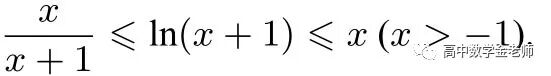
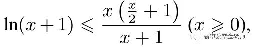
(2)ln(x+1)≤x ≤ex-1(x >-1),其几何意义的理解,如图3所示.

(3)ln x+1 ≤x ≤ex -1(x >0),其几何意义的理解,如图4所示.

图4

图5

(4)ln(x+1)≤x ≤ex-1(x >-1),其几何意义的理解,如图5所示.

(5)其几何意义的理解,如图6所示.

图6

图7

(6)其几何意义的理解,如图7所示.

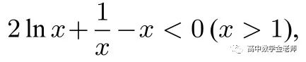
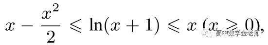
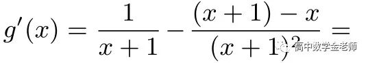
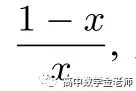
证明 令f(x)=ln(x+1)-x,则当-1 <x <0 时,f(x)>0,所以f(x)在(-1,0)上单调递增;当x >0 时,f(x)<0,所以f(x)在(0,+∞)上单调递减.所以f(x)≤f(0)=ln(0+1)-0=0.即f(x)≤0.所以ln(x+1)-x ≤0,即ln(x+1)≤x.再令当-1 <x <0 时,g(x)<0,所以g(x)在(-1,0)上单调递减;当x >0 时,g(x)>0,所以g(x)在(0,+∞)上单调递增.所以即g(x)≥0.所以综上所述,

(7)其几何意义的理解,如图8所示.

图8

图9

(8)其几何意义的理解,如图9所示.

(9) 函数不等式(0 <x ≤1),其几何意义的理解,如图10 所示.

图10

图11

(10)其几何意义的理解,如图11 所示.

(11)(0 <x ≤1),其几何意义的理解,如图12 所示.

图12

图13

(12)其几何意义的理解,如图13 所示.

(13)其几何意义的理解,如图14 所示.

图14

函数不等式

图15

(14)其几何意义的理解,如图15 所示.

(15)其几何意义的理解,如图16 所示.

图16

以上不等式证明都可以类比证明(6)一样构造函数法转化求最值来证明,由于篇幅关系,此处不再赘述.

题1 (2018年高考全国I 卷文科第21 题)已知函数f(x)=aex-ln x-1.

(I)略;(II)证明:当时,f(x)≥0.

题2(2018年高考全国I 卷理科第21 题)设函数

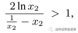
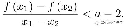
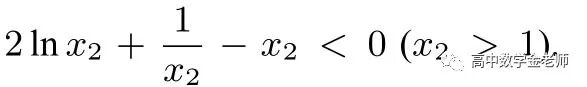
(I)略;(II)若f(x)存在两个极值点x1 和x2,证明:

题3(2018年高考全国II 卷理科第21 题)已知函数f(x)=ex-ax2.

(I)若a=1,证明:当x ≥0 时,f(x)>1;(II)略.

题4 (2018年高考全国III 卷理科第21 题)已知函数f(x)=(2+x+ax2)ln(1+x)-2x.

(I)若a=0,证明:当-1 <x <0 时,f(x)<0;当x >0 时,f(x)>0.(II)略.

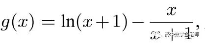
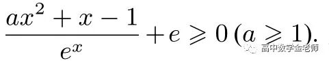
题5(2018年高考全国III 卷文科第21 题)已知函数

(I)略.(II)证明:当a ≥1 时,f(x)+e ≥0.

题6(2017年高考新课标I 卷理科第21 题)已知函数f(x)=ae2x+(a-2)ex-x.

(I)讨论f(x)的单调性;

(II)若f(x)有两个零点,求a 的取值范围.

题7(2017年高考课标卷III 理科第21 题)已知函数f(x)=x-1-a ln x.

(I)若f(x)≥0,求a 的值;(II)略.

题8(2017年高考课标卷II 理科第21 题)已知函数f(x)=ax2-ax-x ln x,且f(x)≥0.

(I)求a;(II)略.

以上高考导数压轴题,一般解法是利用等价转换构造函数法和导数.下面从等价转换的经典不等式函数图像法来证明,这样可以避免复杂的运算,同时也揭示了代数问题的几何背景.

题1(2018年高考全国I 卷文科第21 题)的(II)证明如下.

方法一 先证明:ex-1-ln x-1 ≥0.

证明:令g(x)=ex-1-x,h(x)=ln x-(x-1)(x >0),g(x)=ex-1 - 1,h(x)=所以g(x)在(-∞,1)递减,在(1,+∞)递增,h(x)在(0,1)递增,在(1,+∞)递减,所以g(x)≥g(1)=0,h(x)≤h(1)=0,所以ex-1 ≥x,ln x ≤x-1.要证f(x)≥0 成立,只需证只需证:

而ex-1 ≥ x,ln x ≤ x - 1,所以ex-1 - ln x - 1 ≥x -(x - 1)- 1=0,所以(*)成立,所以当时,f(x)≥0.

评析 方法一利用了高考中常考的两个经典函数不等式ex-1 ≥x,ln x ≤x-1,能避免讨论参数的范围的复杂的运算.两个经典不等式函数ex-1 ≥x,ln x ≤x-1 的图像如图17、18 所示.

图17

图18

方法二 要证明:当a ≥时,f(x)≥0.只需证明:ex-1-ln x-1 ≥0.即证明:ex-1 ≥ln x+1.两个经典函数y=ex-1,y=ln x+1的图像如图19 所示.由图可知,函数y=ex-1 的图像高于函数y=ln x+1 的图像,显然不等式ex-1 ≥ln x+1 成立.所以当时,f(x)≥0.

图19

评析 方法二根据以往的解题经验,利用了高考中常考的两个经典函数不等式ex-1 ≥ln x+1,这样可以避免复杂的运算,同时也揭示了代数问题的几何背景.

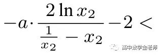
题2(2018年高考全国I 卷理科第21 题的(II)的证明如下.

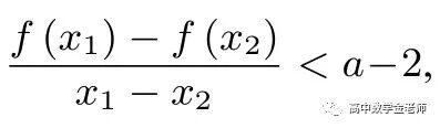
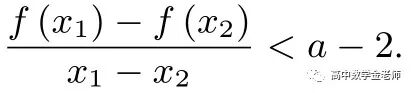
要证明即要证明a - 2,只需证明因为0 <x1 <1 <x2,所以只需证明 即要证明构造函数h(x)=即证明:从而得到高考中常考的经典函数不等式(x >1).由图20 可知,在(1,+∞)上,函数y=ln x 的图像低于函数的图像,易知,(x >1)成立.所以

图20

图21

题3(2018年高考全国II 卷理科第21 题)(I)的证明如下.

证明 若a=1,f(x)=ex -x2,要证明:ex -x2 >1,即证明:ex >1+x2(x ≥0).由图21 可知,在[0,+∞)上,函数y=ex 的图像高于函数y=1+x2 的图像,显然不等式ex >1+x2(x ≥0)成立.所以当x ≥0 时,f(x)>1.

题4(2018年高考全国III 卷理科第21 题的(I)的证明如下.

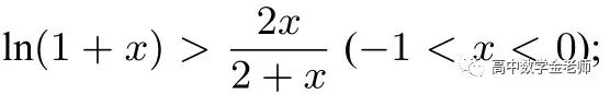
证明 若a=0,则f(x)=(2 + x)ln(1 + x)- 2x(x >-1).若f(x)>0,即(2 + x)ln(1 + x)- 2x >0(-1 <x <0),只需证明:若f(x)<0,即(2+x)ln(1+x)-2x <0(x >0),只需证明:由图22 可知,在(-1,0)上,函数y=ln(1+x)的图像高于函数的图像;在(0,+∞)上,函数y=ln(1+x)的图像低于函数的图像.显然命题成立.

图22

图23

题5(2018年高考全国III 卷文科第21 题)(II)的证明如下.

证明 要证明:当a ≥1 时,f(x)+e ≥0,即要证明只需证明:x2+x-1 ≥-ex+1.即证明:ex+1 ≥1-x-x2.由图23 可知,函数y=ex+1 的图像高于函数y =1-x-x2 的图像.显然命题成立.

题6 的解析(I)f(x)的定义域为(-∞,+∞),f(x)=2ae2x+(a-2)ex-1=(aex-1)(2ex+1),

(i)若a ≤0,则f(x)<0,所以f(x)在(-∞,+∞)单调递减.

(ii)若a > 0,则由f(x)=0 得x=-ln a.当x ∈(-∞,-ln a)时,f(x)< 0;当x ∈(-ln a,+∞)时,f(x)> 0,所以f(x)在(-∞,-ln a)单调递减,在(-ln a,+∞)单调递增.

(II)(i)若a ≤0,由(1)知,f(x)至多有一个零点.

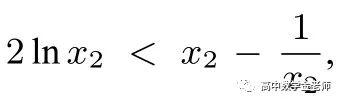
(ii)若a >0,由(1)知,当x=-ln a 时,f(x)取得最小值,最小值为因此,若f(x)有两个零点,只需最小值小于0.即 由变式得a 的取值范围为(0,1).

题7 解析 将不等式f(x)=x-1-a ln x ≥0 转化为由变式(5)ln x ≤x-1 得a=1.

题8 解析 f(x)的定义域为(0,+∞).设g(x)=ax-a-ln x,则f(x)=xg(x).f(x)≥0 等价于g(x)≥0.即ax-a-ln x >0,即a(x-1)≥ln x.由变式(5)ln x ≤x-1得a=1.

课本是考题的基本来源,自然是高考的命题依据.因此,在数学教学中,我们要善于挖掘教材的潜在教学功能.教材中有一些典型性题目,它们或者是重要的结论,或者体现某种数学思想方法,或者是某个一般数学命题的具体形式,它的延伸、转化和拓广,可以呈现出丰富多彩的数学内容.我们必须充分重视课本典型例题、习题的探究,这是“用教材教”之根本,也是教师专业成长的必有之路.

从近几年的高考来看,不难发现大多导数压轴题是在课本基础上进行改变、重组、创新、索源产生的,都考查上述的经典函数不等式,都可以从等价转换的不等式函数图像法来解决,这样可以避免复杂的运算.这也体现了高考试题“常考常新,推陈出新”的理念,所以我们要都这一类问题进行总结,并提出更加简便的通性通法,对解法的探索是在践行我们所学的知识技能和思想方法,同时也使我们的思维更广阔、思想更深刻.对试题本质的探源,使我们更深刻地认识问题,将新旧解题经历跨时空贯通起来,这又是一个新的开始.


转载请说明出处 内容投诉内容投诉
九幽软件 » 函数不等式(二次函数不等式)