opbi(opbi和救护车)

隔膜中锂离子的微观传输方式对于解决锂枝晶不规则生长问题,从而提升电池工作的安全性至关重要,对电池的电化学性能也有积极的影响。此外,隔膜的耐热性是衡量隔膜性能和电池使用安全性的重要指标。在本工作中,我们通过易于实现的NIPS将磺化和锂化的埃洛石纳米管引入到耐高温的OPBI基质中,得到具有多种锂离子微传输形貌的耐高温隔膜。锂离子可以穿梭于埃洛石纳米管孔道、表面带负电的磺酸基以及NIPS在隔膜内部形成的更大的指状孔道中,产生高而均匀的锂离子通量,防止过多的局部离子流导致锂枝晶的过度生长。根据表征数据,该隔膜表现出较为令人满意的性能,如离子电导率为1.82 mS cm 1、孔隙率为82 %、电解液吸收率为397 %、在200 ℃时无明显物理收缩。此外,采用OPBI@sHNT-Li20隔膜组装的电池具有更高的放电容量(164.92 mAh·g 1)、循环更稳定、倍率性能优越。因此,OPBI@sHNT-Li隔膜有望在提高锂离子电池的安全性和电化学性能方面发挥积极作用。              
图 1. (a)OPBI@sHNT-Li复合隔膜的制备过程(b)OPBI@sHNT-Li复合隔膜在电池内部的作用机理。
          
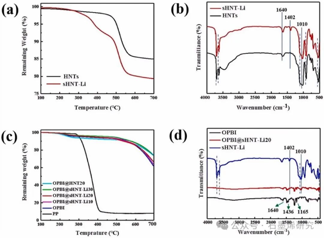
图 2. (a)HNTs、sHNT-Li的TGA曲线和(b)FT-IR光谱;(c)隔膜的TGA曲线;(d)OPBI、OPBI@sHNT-Li20隔膜和sHNT-Li的FT-IR光谱。    
          
图3. 隔膜的 (a-c, j-l) 顶面、(d-f, m-o) 底面和 (g-i, p-r) 横截面的 SEM 图像。
           opbi          
图 4. (a)OPBI@sHNT-Li20复合隔膜的折叠、弯曲、扭曲和恢复图像;(b)电解质润湿图像和(c)隔膜的接触角图像。
              
图 5. (a)隔膜在不同温度下放置1小时后的图像;(b)隔膜燃烧实验。
                        
opbi图 6. (a)隔膜夹在两块钢板之间组装的电池的交流阻抗;(b)夹在两个锂电极之间的对称电池隔膜的界面电阻;(c)隔膜夹在 LiFePO4 正极和钢板之间组装的电池的 LSV;(d)Li/隔膜/Li 的锂沉积/剥离循环稳定性。
          
图 7. (a) 纯锂板的 SEM 图像;(b d) 电池经过 200 次循环后获得的锂阳极 SEM 图像;(e) 电池内锂枝晶生长的示意图。          
              
图 8. 使用 (a) PP 和 (b) OPBI@sHNT-Li20 隔膜组装的电池的充放电曲线;(c) LiPO4/Li 电池的循环性能和 (d) 倍率能力。
          
图 9. 用 PP 和 OPBI@sHNT-Li 隔膜组装的电池在(a)50 °C、0.5 C 和(b)90 °C、0.5 C 下的循环稳定性。          

相关科研成果由深圳大学Lei Wang, 深圳市计量质量检测研究院电子电器检测所Bin Zhang等人于2024年发表在Journal of Membrane Science(https://doi.org/10.1016/j.memsci.2024.123417)上。原文:Multi-channeled halloysite nanotube-blended polybenzimidazole separators for enhancing lithium-ion battery performance

opbi原文链接:https://doi.org/10.1016/j.memsci.2024.123417   

转载请说明出处 内容投诉内容投诉
九幽软件 » opbi(opbi和救护车)