
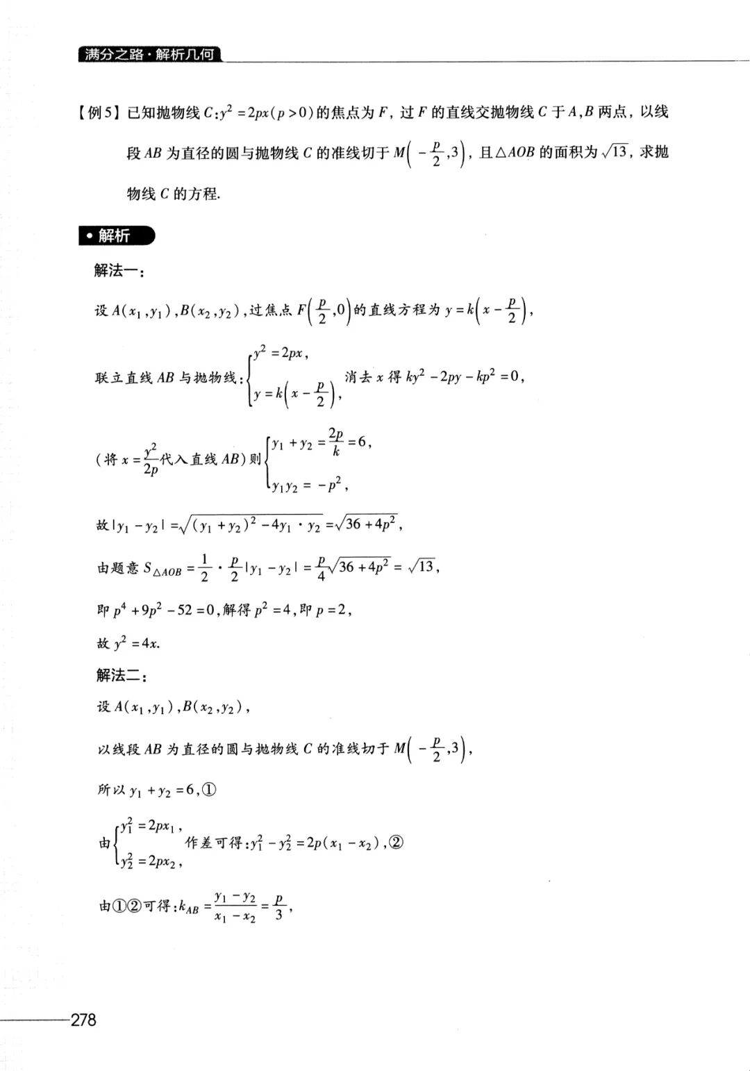
抛物线的二级结论
![]()
抛物线的二级结论
需要书的读者可以与中国科学技术大学出版社肖向兵老师联系,集体订阅有优惠,肖向兵老师微信号:jingsaibook
《解析几何竞赛读本》第二版将由中国科学技术大学出版社于2023年8月出版,目前校对完毕,月底印刷上市
好消息,《数学奥林匹克不等式证明方法与技巧》已知由哈尔滨工业大学出版社2023年3月再版,需要的读者与出版社杜雪莹老师联系

抛物线的二级结论
![]()
抛物线的二级结论
需要书的读者可以与中国科学技术大学出版社肖向兵老师联系,集体订阅有优惠,肖向兵老师微信号:jingsaibook
《解析几何竞赛读本》第二版将由中国科学技术大学出版社于2023年8月出版,目前校对完毕,月底印刷上市
好消息,《数学奥林匹克不等式证明方法与技巧》已知由哈尔滨工业大学出版社2023年3月再版,需要的读者与出版社杜雪莹老师联系